下面是系统集成答案
信息系统项目管理师系统规范与管理师 
真题参考答案 请关注索取!
--------------------------------

2022年5月系统集成答案


第一板块:基础知识(选择题)

第1题

采用现代管理理论作为计划,设计、控制的方法论,将硬件、软件、数据库网络等系统按照规划的结构和秩序,有序地整合到一个有清晰边界的信息系统中,以达到既定系统的目标,这个过程为信息系统
A、设计
B、开发
C、集成     
D、运维
参考答案:C

第2题

虚拟机技术主要包括

①网络虚拟机   ②储存虚拟机  ③数据虚拟机  ④网络虚拟机  ⑤桌面虚拟机

选项
A、①②④⑤
B、①②③④
C、②③④⑤
D、①②③⑤
参考答案:A

第3题
《“十四五”国家信息化规划》支出,以推动高质量发展为题,以建设()为总目标,以加快()发展为总抓手,发挥()对社会发展的驱动引领作用

选项
A、网络强国 信息化 数字网络
B、数字中国 数字化 信息化
C、制造强国 制造业 智能制造
D、智能强国 智能化 数智化
参考答案:B

第4题
企业信息结构包含()
①产品(服务)层  ②作业层  ③决策层  ④客户层  ⑤管理层

选项
A、①②③④
B、①②③⑤
C、②④⑤⑥
D、③④⑤⑥
参考答案:B

第5题
企业向消费者提供网上购物环境,消费者通过网络访问相关网络进行咨询、购买活动,这种模式称为()

选项
A、B2B
B、C2C
C、O2O
D、B2C
参考答案:D

第6题
依据《“十四五”软件和信息技术服务业发展规划》,“加快突破”金融核心业务系统的建筑信息建模和建筑防火模拟智慧能源管理、智能交通管理、职能办公室等,属于___任务的工作内容

选项
A、重点突破工业软件
B、协同攻关应用软件
C、力攻坚基础软件
D、前瞻布局新型平台软件
参考答案:D

第7题
针对特定的数据和问题,选择一种或多种算法,找到数据中的规律,为决策提供支持

选项
A、数据展示
B、数据抽取
C、数据转换
D、数据挖掘
参考答案:D

第8题
不属于新型基础设置建设(新基线)的内容

选项
A、工业互联网
B、高速公路
C、大数据中心
D、5G
参考答案:B

9、(持续更新中)

第10题
ITSS(信息技术服务标准)定义的IT服务核心要素钟,()体现了“正确做事”的思想

选项
A、人员
B、资源
C、技术
D、过程
参考答案:D


第11题
信息系统开发方法中____的特点,是把整个系统的开发过程分成若干个阶段,并依次进行。缺点是开发周期长,文档设计繁琐,工作效率低

A、原型法
B、结构化方法
C、面向对象方法
D、分层方法
参考答案:B

第12题
收集并评估证据以决定计算机系统是否有效做到保护资产、维护数据完整、完成组织目标,同时最经济的使用资源

A、系统复用
B、系统审计
C、系统集成
D、系统维护
参考答案:B

第13题
面向对象系统设计是基于面向对象系统分析得出的问题与模型进行设计,其主要内容包括()

1、 对象行为设计     2、用例设计     3、类设计    4、义务模型建议    5、子系统设计
A、123
B、234
C、235
D、145
参考答案:C

第14题
 (  )的典型应用是各种图形界面应用

选项
A、面向对象模式
B、管道/过滤器模式
C、事件驱动模式
D、客户/服务器模式
参考答案:A

第15题
数据仓库的根本任务是( )

选项
A、便于数据展示
B、对数据进行清理
C、缩短数据处理时间
D、指出管理决策
参考答案:D

第16题
()利用某种编程手段,将一些人们所关心的,但又不便于让最终用户去直接操作的细节进行封装,同事实现各种业务逻辑规则,用于处理用户的内部操作细节

选项
A、虚拟化技术
B、Web Services 技术
C、组件技术
D、NET技术
参考答案:C

第17题
在OSI七层协议中,()负责对软件提供网络接口服务

选项
A、传输层
B、会话层
C、表示层
D、应用层
参考答案:D

第18题
在无线通信领域,技术发展已经经历了五代,其中从()出现了制式上的变革,从模拟制式变为数字制式

选项
A、第二代(2G)
B、第三代(3G)
C、第四代(4G)
D、第五代(5G)
参考答案:A

第19题
在信息安全的基本要素中,( )是指只有得到允许的人才能修改数据,并且能够判断出数据是否已被篡改

选项
A、机密性
B、完整性
C、可用性
D、可控性
参考答案:B

第20题
《计算机系统安全保护等级划分准则》将信息系统安全分为5个等级,其中安全保护等能力最强的是( )

选项
A、结构化保护级
B、安全标记保护级
C、访问验证保护级
D、系统审计保护级
参考答案:C

第21题
通过Internet使用第三方提供商提供的云服务,其核心属性是共享资源服务

选项
A、公有云
B、私有云
C、政务云
D、内部云
参考答案:A

第22题
()是人工智能的核心,是使计算机具有智能的根本途径

选项
A、机器学习
B、人机交互
C、计算机视觉
D、虚拟现实
参考答案:A

第23题
物联网应用已经走进了我们的日常生活,()不属于物联网的感知层

选项
A、心率传感器
B、比斗定位系统
C、网络总裁
D、条码和二维码
参考答案:B

第24题
项目目标要求遵守的SMART原则指()

A、独特的,可测量的,可以达到的,可以回顾的,有明确时限的
B、具体的,可测量的,有效的,有相关相性的,有明确时限的
C、独特的,可测量的,可以达到的,有相关性的,有明确时限的
D、具体的,可测量的,可以达到的,有相关性的,有明确时限的
参考答案:D

第25题
最适合做项目经理的是()

A、团队中技术最强、不善沟通的李总监
B、具备领导能力、不懂技术的王经理
C、刚刚从某名牌大学毕业的工程师小王
D、具备一定项目管理经验,沟通协调能力强的小张
参考答案:D

第26题
____型PMO直接管理和控制项目,对项目的控制程度很高。

A、支持
B、控制
C、指令
D、综合
参考答案:C
学霸笔记:38  页

第27题
关于项目管理过程组的描述不正确的是

A、很多启动类型的过程经常会超出项目范围,而受组织、大型项目或项目组合管理过程控制
B、计划过程组主要出现在项目的计划阶段,但执行阶段的变更也会引起某个计划过程的更新更改
C、在整个项目的生命周期内,每个阶段由相应的过程组成,所有的项目都需要所有的过程
D、执行过程组不仅包括项目的管理计划实施的各个过程,也包括协调人员和资源的过程
参考答案:
学霸笔记:38  页

第28题
项目建议书报送项目审批部门后,项目审批部门征求相关部门意见,并委托有资格的____评估后审核批复,或报国务院审批后下达批复。
选项
A、咨询机构
B、认可机构
C、认证机构
D、培训机构
参考答案:A

第29题
在进行项目可行性分析时要从融资主体(企业)的角度评价股东投资收益、现金流量计划及债务偿还能力,描述的是____
A、投资必要性
B、组织可行性
C、经济可行性
D、财务可行性
参考答案:D

第30题
关于项目评估的描述,不正确的是( )
选项
A、项目评估是在项目意向确定后,对项目的初步评估
B、项目评估是项目投资前期进行决策管理的重要环节
C、项目评估的目的是审查项目可行性研究的可靠性,真实性和客观性
D、项目评估为银行的贷款决策或行政部门主管部门的审批决策提供科学依据
参考答案:A

第31题
招标人采用资格与审办法对招标人进行资格审查的,应当在开标后由___按照招标文件规定它的标准和方法对招标人的资格进行审查
选项
A、评标委员会
B、资格审查委员会
C、认证认可发会
D、招标放的委员会
参考答案:B

第32题
关于招投标的描述,不正确的是____
选项
A、第一中标候选人无法履约 的,要重新投标
B、中标候选人应为不超过3个,且应表明排序
C、招标人公示中标候选人,公示其
D、投标人有,不得开标,招标人应重新招标
参考答案:B

第33题
当项目各要素之间需要协调的,应进行项目__,在项目的竞争目标中寻找最佳平衡点
选项
A、风险分析
B、整体管理
C、范围管理
D、质量管理
参考答案:B

第34题
( )不属于项目章程的内容
选项
A、项目零风险
B、总体里程碑进度计划
C、项目审批要求
D、需求跟踪矩阵
参考答案:D

第35题
项目管理计划的输入不包括
选项
A、项目章程
B、其它规划过程的输出
C、工作绩效
D、组织过程资产
参考答案:C

36、(持续更新中)
37、(持续更新中)
38、(持续更新中)
39、(持续更新中)
40、(持续更新中)
41、(持续更新中)
42、(持续更新中)
43、(持续更新中)

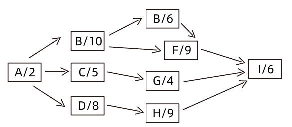
第44、45题
下图(单位:周)为某项目的进度网络图,项目各项工作顺序及工作时长如图所示,活动D的总浮动时间和自由浮动时间分别为(44),该项目工期为

图片

(45)
选项
A、5,0
B、12,0
C、18,0
D、20,20
参考答案:B

(45)
选项
A、17
B、26
C、37
D、31
参考答案:C

第46题
当前某项目处于进度滞后,成本节约的状态,为了保证项目按时保质完成,后续应优先采取的措施是:
选项
A、赶工,投入更多的资源或增加工作时间
B、降低质控要求,减少问题,减少返工
C、减小活动范围或降低活动要求
D、快速跟进,并行施工,缩短关键路径长度
参考答案:A

第47题
(  )是一种历史成本,对现有决策而言是不可控成本。
选项
A、机成
B、可变
C、沉没成本
D、固定
参考答案:C

第48题
( )不属于成本管理计划的内容
选项
A、成本跟踪方法
B、测量单位
C、项目里程碑
D、控制临界值
参考答案:C

第49题
题在项目成估算技术中,自上而下估算的准确性及其本身所需的成本,通常取决于()
选项
A、估算专家
B、单个活动或工作包的规模和复杂程度
C、参数模型的可靠性
D、WBS分解的颗粒度
参考答案:B

第50题
某项目进行到40天的时候,实际进度为计划的90%,实际成本为110万元,计划成本为130万元,则该项目的绩效为
选项
A、成本节约,进度超前
B、成本超支,进度滞后
C、成本节约,进度滞后
D、成本超支,进度超前
参考答案:C

第51题

(  )不能反映团队成员个人与其承担工作之间的联系。
选项
A、层次结构图
B、责任分配矩阵
C、工作分解结构
D、资源日历
参考答案:D
学霸笔记:95页

第52题√

(  )一起确定了每个项目团队成员的工作时间段。
选项
A、人员配备管理计划和项目进度计划
B、人力资源管理计划和项目进度计划
C、项目人员分配表和WBS
D、人力资源管理计划和WBS
参考答案:A
学霸笔记:96页

第53题√
某项目团队成色开始执行分配任务,遇到困难的团队成员之间发生争执,互相指责,并怀疑项目经理的能力,该项目团队处于()
选项
A、发挥阶段
B、规范阶段
C、震荡阶段
D、形成阶段
参考答案:C
学霸笔记:97页

第54题√
项目经理将项目例会的会议纪要以电子邮件的形成发送给主要干系人,这种沟通方式为()
选项
A、交互式
B、拉式
C、推式
D、语音
参考答案:C
学霸笔记:104页

第55题
依据权利/利益方格,对单位内部生产核心部件应采取的干采人管理策略是()
选项
A、重点管理
B、令其满意
C、监督
D、随时告知
参考答案:B
学霸笔记:96页

第56题

某项目要求尽快开展工作,但是项目涉及的某些经济技术指标尚未确定,该项目最好签订()
选项
A、总价合同
B、成本补偿合同
C、工料合同  
D、采购单合同
参考答案:B

第57题
关于合同变更管理的描述,不正确的是()
选项
A、任何合同变更都需以法律事实为依据
B、不涉及成本、进度的合同变更无需提交书面申请
C、监理单位(或变更控制委员会)负责审批合同变更申请
D、对于任何合同变更的评估都应该有变更影响分析
参考答案:B

第58题
(  )不属于编制采购计划的输入
选项
A、项目管理计划
B、需求文档
C、项目组织过程资产
D、项目工作说明书
参考答案:D
学霸笔记:119页

第59题
关于实施采购过程中采用工具和技术的描述,不正确的是()
A、投标人会议上,所有潜在的供应商都应得到同等对待
B、卖方建议书必须通过建议书评价技术来进行评价
C、采购组织能够对采购成本进行独立估算以检查卖方建议书的报价
D、大部分政府机构要求政府合同必须做公告
参考答案:D

第60题
所有配置顶的操作权限应归()严格管理。
A、项目经理
B、QA
C、测试经理
D、配置管理员
参考答案:D


61、(持续更新中)
62、(持续更新中)
63、(持续更新中)
64、(持续更新中)

第65题

(   )不属于“识别风险”过程的输入
选项
A、潜在风险应对措施清单
B、范围基准
C、风险管理计划
D、质量管理计划
参考答案:A

第66题

(   )是评估风险数据对风险管理有用程度的一种技术,用来考察人们对风险的理解程度和风险数据的准确性、质量、可靠性、完整性。
选项
A、定量风险分析
B、风险概率和影响评估
C、风险紧迫性评估
D、风险数据质量评估
参考答案:D

第67题
风险省级风险审计属于()过程的工具与技术
选项
A、定性风险分析
B、风险控制
C、定量风险分析
D、风险规划
参考答案:B


68、(持续更新中)

第69题
对信息系统岗位人员的安全管理要求不包括()
选项
A、兼职和轮岗
B、权限分散并交叉覆盖
C、多人共管
D、全面控制
参考答案:B

第70题
我国信息技术相关的国家标准由____归口
选项
A、金标委
B、通校委
C、信标委
D、国标委
参考答案:C

71、(持续更新中)
72、(持续更新中)
73、(持续更新中)
74、(持续更新中)
75、(持续更新中)

第二版块:应用技术(大题),  预计发布时间 2022年5月29日下午 16:30

第一题:(持续更新中)

第二题:(持续更新中)

第三题:(持续更新中)

第四题:(持续更新中)